QOJ.ac

QOJ

Time Limit: 2 s Memory Limit: 128 MB Total points: 100

#13307. Salaries

Statistics

The Byteotian Software Corporation (BSC) has n employees. In BSC's strict hierarchy, each employee has a direct supervisor, except the CEO, to whom all other BSC employees answer, directly or not. Each employee has a unique monthly salary, and all their salaries range from $1$ to $n$ bythalers. Each supervisor earns more than each of their subordinates.

According to Byteotian law, the salaries of employees on certain posts may be publicly disclosed. Furthermore, if the salary of an employee is disclosed, then the salary of their supervisor is also disclosed.

The Byteotian Internal Revenue Anti-Corruption Service (BIRAS) has decided to investigate BSC. Before BIRAS enters BSC with a warrant, they intend to learn the salaries of all BSC employees that are not disclosed but can be determined from those that are disclosed.

Input Format

In the first line of the standard input a single integer $n$ ($1 ≤ n ≤ 1\,000\,000$) is given that denotes the number of BSC employees. The employees have id's that range from $1$ to $n$.

The n lines that follow provide information on these employees. The line no. $i+1$ describes the employee no. $i$ by two integers $p_{i}$ and $z_{i}$ ($1 ≤ p_{i} ≤ n$, $0 ≤ z_{i} ≤ n$), separated by a single space. The number $p_{i}$ is the id of the direct supervisor of the employee $i$. If $p_{i}=i$, then $i$ is the CEO of BSC. If $z_{i} > 0$, then that is the salary of the employee $i$. If, on the other hand, $z_{i}=0$, then the salary of employee is not disclosed. Those $z_{i}$’s that are positive are also pairwise different.

The input data will always be such that there is at least one assignment of salaries to employees consistent with them, i.e., with the hierarchy and the partial assignment that they provide.

In tests worth $54\%$ of the total points the condition $n ≤ 10\,000$ holds in addition.

Output Format

Your program should print $n$ lines to the standard output, each line holding a single integer. If the employee $i$’s salary is disclosed or can be inferred from disclosed salaries, then the $i$-th line should hold employee $i$’s salary. Otherwise the $i$-th line should contain $0$.

Example

Input

10
2 2
2 10
1 0
2 9
2 5
4 0
6 0
6 0
5 0
5 0

Output

2
10
1
9
5
8
0
0
0
0
problem_13307_1.gif

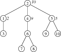
The figure illustrates the hierarchy of employees. The encircled numbers are employee id's, whereas the numbers in italics given next to them (if any) are their disclosed salaries. The employee 3 has to earn 1 bythaler, and employee 6 has to earn 8 bythalers. The salaries of employees 7, 8, 9 and 10 cannot be uniquely determined from disclosed salaries.

Discussions

About Discussions

The discussion section is only for posting: Editorials, General Discussions (problem-solving strategies, alternative approaches), and Off-topic conversations.

This is NOT for reporting issues! If you want to report bugs or errors, please use the Issues section below.

Open Discussions 0
No discussions in this category.

Issues

About Issues

If you find any issues with the problem (statement, scoring, time/memory limits, test cases, etc.), you may submit an issue here. A problem moderator will review your issue.

Guidelines:

  1. This is not a place to publish discussions, editorials, or requests to debug your code. Issues are only visible to you and problem moderators.
  2. Do not submit duplicated issues. Submitting multiple issues may cause your account to be banned.
  3. Issues must be filed in English or Chinese only.
Active Issues 0
No issues in this category.
Closed/Resolved Issues 0
No issues in this category.